29+ Instalasi Motor Listrik Kelas Xi, Inspirasi Baru!
Juli 28, 2019
Inspirasi pembahasan terkait motor listrik dengan judul 29+ Instalasi Motor Listrik Kelas Xi, Inspirasi Baru! adalah :
29+ Instalasi Motor Listrik Kelas Xi, Inspirasi Baru! - Sobat otomotif lover!, periode ini kita akan membahas tentang motor listrik. Untuk menciptakan sebuah karya modifikasi yang bagus adalah impian penggemar modifikasi mobil dan motor. Banyak generasi milenial yang sudah memiliki tema dan konsep sendiri dalam modifikasi mobil dan motor. Untuk menghindari kesalahan sebelum modifikasi, perlu menentukan tema dan konsep yang akan diambil. Dengan dasar tersebut, beli dan pasanglah part yang sesuai tema dan konsep. Keberadaan media sosial juga memperbanyak referensi dan mudahnya mendapatkan part modifikasi.
Apakah kamu tertarik dengan motor listrik?, dengan gambar dibawah ini, semoga bisa menjadi referensi untuk menambah inspirasi dan ide tentang dunia otomotif.Informasi yang dapat kami sampaikan kali ini terkait motor listrik dengan judul artikel 29+ Instalasi Motor Listrik Kelas Xi, Inspirasi Baru! berikut ini.

Buku Instalasi Motor Listrik Kelas 11 SMK Buku Sekolah . Sumber Gambar : bse.annibuku.com

RPP 2 Instalasi Motor Listrik Kelas XII TIPTL . Sumber Gambar : www.slideshare.net

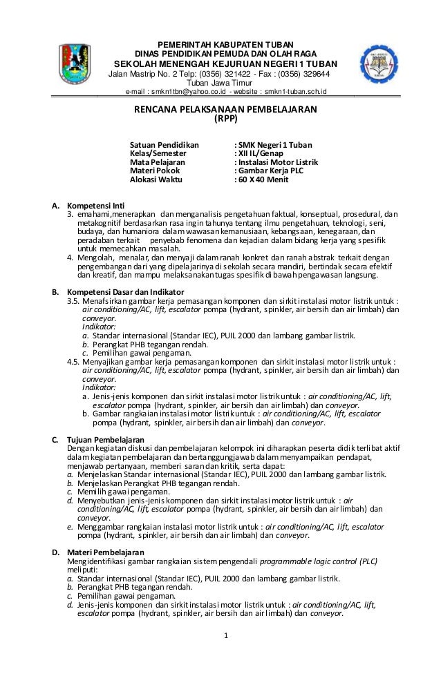
RPP IML Kelas XI Kurikulum 2013 SMK berdasar KI KD SK . Sumber Gambar : www.rokhmad.com

Struktur kurikulum . Sumber Gambar : www.slideshare.net

Blog edukasi . Sumber Gambar : rokhmad.blogspot.com

Buku Sekolah Elektronik SMK Kelas 12 . Sumber Gambar : bse.annibuku.com

RPP 1 Instalasi Motor Listrik Kelas XII TIPTL . Sumber Gambar : www.slideshare.net

Buku Paket SMK MAK Kelas 12 Kurikulum 2013 Terbaru . Sumber Gambar : www.bukupaket.com

RPP 1 Instalasi Motor Listrik Kelas XII TIPTL . Sumber Gambar : www.slideshare.net

RPP 1 Instalasi Motor Listrik Kelas XII TIPTL . Sumber Gambar : www.slideshare.net

Buku Paket SMK MAK Kelas 12 Kurikulum 2013 Terbaru . Sumber Gambar : www.bukupaket.com

RPP 6 Instalasi Motor Listrik Kelas XII TIPTL . Sumber Gambar : www.slideshare.net

RPP 5 Instalasi Motor Listrik Kelas XII TIPTL . Sumber Gambar : www.slideshare.net

RPP Instalasi Motor Listrik Program Teknik Instalasi . Sumber Gambar : www.rokhmad.com

instalasi motor listrik . Sumber Gambar : www.slideshare.net

RPP 2 Instalasi Motor Listrik Kelas XII TIPTL . Sumber Gambar : www.slideshare.net

Silabus kompetensi kejuruan kk . Sumber Gambar : www.slideshare.net

Struktur kurikulum 2013 program keahlian teknik . Sumber Gambar : www.slideshare.net

Buku Kurikulum 2013 SMK Instalasi Motor Listrik Buku . Sumber Gambar : arsipsmkterbaru.blogspot.com

JURNISYAM . Sumber Gambar : junnysr.blogspot.com

Konten Terbitan Buku Direktorat Pembinaan SMK . Sumber Gambar : portal.ditpsmk.net

RPP 1 Instalasi Motor Listrik Kelas XII TIPTL . Sumber Gambar : www.slideshare.net

RPP 2 Instalasi Motor Listrik Kelas XII TIPTL . Sumber Gambar : www.slideshare.net

3 lk a5 ipk tujuan dan integrasi materi fisika . Sumber Gambar : www.slideshare.net

RPP IML Kelas XI Kurikulum 2013 SMK berdasar KI KD SK . Sumber Gambar : www.rokhmad.com

RPP Gambar Teknik Kelas XI TITL Kurikulum 2013 Blog edukasi . Sumber Gambar : www.rokhmad.com

Perpustakaan SMK Muhammadiyah 3 Yogyakarta Instalasi . Sumber Gambar : perpustmuh3.blogspot.com

Rpp gambar teknik kelas x semester 1 kd 3 1 dan 4 1 . Sumber Gambar : www.slideshare.net

RPP 2 Instalasi Motor Listrik Kelas XII TIPTL . Sumber Gambar : www.slideshare.net

LATIHAN SOAL SOAL . Sumber Gambar : id.scribd.com

RPP 2 Instalasi Motor Listrik Kelas XII TIPTL . Sumber Gambar : www.slideshare.net

Kendali Elektromagnetik Dalam Instalasi Motor Listrik . Sumber Gambar : www.kittobook.co.id

Rpp Instalasi Penerangan Listrik Ipl Kelas Xi Teknik . Sumber Gambar : kisahsukadandukasidara.blogspot.com

PENGARUH KESIAPAN FASILITAS DAN SIKAP PENGGUNAAN PERALATAN . Sumber Gambar : eprints.uny.ac.id

Kuat Hantar Arus KHA Budic Cyberclass . Sumber Gambar : budic.smkn1trenggalek.net
soal instalasi motor listrik kelas xii, materi instalasi motor listrik kelas 12,
29+ Instalasi Motor Listrik Kelas Xi, Inspirasi Baru! - Sobat otomotif lover!, periode ini kita akan membahas tentang motor listrik. Untuk menciptakan sebuah karya modifikasi yang bagus adalah impian penggemar modifikasi mobil dan motor. Banyak generasi milenial yang sudah memiliki tema dan konsep sendiri dalam modifikasi mobil dan motor. Untuk menghindari kesalahan sebelum modifikasi, perlu menentukan tema dan konsep yang akan diambil. Dengan dasar tersebut, beli dan pasanglah part yang sesuai tema dan konsep. Keberadaan media sosial juga memperbanyak referensi dan mudahnya mendapatkan part modifikasi.
Apakah kamu tertarik dengan motor listrik?, dengan gambar dibawah ini, semoga bisa menjadi referensi untuk menambah inspirasi dan ide tentang dunia otomotif.Informasi yang dapat kami sampaikan kali ini terkait motor listrik dengan judul artikel 29+ Instalasi Motor Listrik Kelas Xi, Inspirasi Baru! berikut ini.
Buku Instalasi Motor Listrik Kelas 11 SMK Buku Sekolah . Sumber Gambar : bse.annibuku.com

RPP 2 Instalasi Motor Listrik Kelas XII TIPTL . Sumber Gambar : www.slideshare.net

RPP IML Kelas XI Kurikulum 2013 SMK berdasar KI KD SK . Sumber Gambar : www.rokhmad.com

Struktur kurikulum . Sumber Gambar : www.slideshare.net

Blog edukasi . Sumber Gambar : rokhmad.blogspot.com

Buku Sekolah Elektronik SMK Kelas 12 . Sumber Gambar : bse.annibuku.com

RPP 1 Instalasi Motor Listrik Kelas XII TIPTL . Sumber Gambar : www.slideshare.net

Buku Paket SMK MAK Kelas 12 Kurikulum 2013 Terbaru . Sumber Gambar : www.bukupaket.com

RPP 1 Instalasi Motor Listrik Kelas XII TIPTL . Sumber Gambar : www.slideshare.net

RPP 1 Instalasi Motor Listrik Kelas XII TIPTL . Sumber Gambar : www.slideshare.net

Buku Paket SMK MAK Kelas 12 Kurikulum 2013 Terbaru . Sumber Gambar : www.bukupaket.com
RPP 6 Instalasi Motor Listrik Kelas XII TIPTL . Sumber Gambar : www.slideshare.net

RPP 5 Instalasi Motor Listrik Kelas XII TIPTL . Sumber Gambar : www.slideshare.net

RPP Instalasi Motor Listrik Program Teknik Instalasi . Sumber Gambar : www.rokhmad.com

instalasi motor listrik . Sumber Gambar : www.slideshare.net

RPP 2 Instalasi Motor Listrik Kelas XII TIPTL . Sumber Gambar : www.slideshare.net

Silabus kompetensi kejuruan kk . Sumber Gambar : www.slideshare.net

Struktur kurikulum 2013 program keahlian teknik . Sumber Gambar : www.slideshare.net

Buku Kurikulum 2013 SMK Instalasi Motor Listrik Buku . Sumber Gambar : arsipsmkterbaru.blogspot.com

JURNISYAM . Sumber Gambar : junnysr.blogspot.com
Konten Terbitan Buku Direktorat Pembinaan SMK . Sumber Gambar : portal.ditpsmk.net

RPP 1 Instalasi Motor Listrik Kelas XII TIPTL . Sumber Gambar : www.slideshare.net

RPP 2 Instalasi Motor Listrik Kelas XII TIPTL . Sumber Gambar : www.slideshare.net

3 lk a5 ipk tujuan dan integrasi materi fisika . Sumber Gambar : www.slideshare.net

RPP IML Kelas XI Kurikulum 2013 SMK berdasar KI KD SK . Sumber Gambar : www.rokhmad.com

RPP Gambar Teknik Kelas XI TITL Kurikulum 2013 Blog edukasi . Sumber Gambar : www.rokhmad.com

Perpustakaan SMK Muhammadiyah 3 Yogyakarta Instalasi . Sumber Gambar : perpustmuh3.blogspot.com

Rpp gambar teknik kelas x semester 1 kd 3 1 dan 4 1 . Sumber Gambar : www.slideshare.net

RPP 2 Instalasi Motor Listrik Kelas XII TIPTL . Sumber Gambar : www.slideshare.net
LATIHAN SOAL SOAL . Sumber Gambar : id.scribd.com

RPP 2 Instalasi Motor Listrik Kelas XII TIPTL . Sumber Gambar : www.slideshare.net

Kendali Elektromagnetik Dalam Instalasi Motor Listrik . Sumber Gambar : www.kittobook.co.id

Rpp Instalasi Penerangan Listrik Ipl Kelas Xi Teknik . Sumber Gambar : kisahsukadandukasidara.blogspot.com
PENGARUH KESIAPAN FASILITAS DAN SIKAP PENGGUNAAN PERALATAN . Sumber Gambar : eprints.uny.ac.id
Kuat Hantar Arus KHA Budic Cyberclass . Sumber Gambar : budic.smkn1trenggalek.net